Scientific Steps Group

SCCEE Cover



Steps For Civil, Constructions and Environmental Engineering (SCCEE)

ISSN: 3005-8198 (online) | 3005-818X (print)

Volume 2, Issue 4 (October - December 2024) Pages 1-16

Open Access Logo Research Article

A Simple and Sensitive Spectrophotometric Method for the Determination of Copper(II) in Aqueous Solutions Using a Novel Schiff Base Reagent

Ammar Kheder Ismaiel * Mohammad Maarouf

Department of Chemistry, Faculty of Science, Tishreen University, Lattakia, Syria.

* Correspondence Author
Received: 15 August 2024 | Revised: 20 September 2024 | Accepted: 02 October 2024 | Published: 12 October 2024

Abstract

A rapid, accurate, and sensitive spectrophotometric method has been developed for the determination of copper(II) in aqueous solutions. This method utilizes a newly synthesized reagent, 3-hydroxy-4-[(2-hydroxy benzylidene) amino] naphthalene sulphonic acid-1. The reagent reacts with Cu(II) ions in Britton–Robinson buffer at pH 7 and room temperature to form a stable orange complex with a maximum absorbance at λmax = 430 nm. Job’s method yielded a 1:2 metal-to-ligand stoichiometry. The method demonstrated a high molar absorptivity of 3.24 × 104 L mol-1 cm-1 and a stability constant (βk) of 0.5749 × 103, with Beer’s law being obeyed over the concentration range of 0.3–6 mg L-1. The detection limit was established at 0.0058 mg L⁻¹, and precision studies yielded relative standard deviations (RSD) ranging from 0.25% to 5.26%, with recovery values ranging from 95% to 102.5%. These results demonstrate the proposed method as a simple, cost-effective, and reliable approach for copper determination in aqueous systems, with potential applications in environmental monitoring and water quality assessment.

Keywords: Copper(II); Schiff Base Reagent; Spectrophotometric Method; Environmental Water Analysis.

Introduction

Spectrophotometric methods have a significant role in analytical chemistry in comparison to other methods due to their valuable characteristics, including sensitivity, rapidity, and accuracy (Maarouf et al., 2019).

Copper is a bioactive element that exerts a significant influence on organisms, playing pivotal roles in metabolism, nerve function, and bone growth. However, elevated levels of copper in the human body have been associated with serious health risks, including heart diseases and liver damage. Consequently, numerous research endeavours have been directed towards the assessment of copper levels in diverse biological and environmental specimens (Alharthi & Al-Saidi, 2020).

A novel method for the determination of Cu (II) ions in biological and water samples has been reported. This method is based on the formation of a stable complex between copper ions and 4-(2′-benzothiazolylazo)-salicylic acid at pH 5 and room temperature. The complex demonstrated its maximal absorption at λmax = 485 nm, exhibiting a molar absorptivity of 2.35 × 104 L·mol-1·cm-1, thereby confirming the validity of Beer–Lambert’s law within the concentration range of 0.63–5.04 mg/L (as cited in Hashem et al., 2011).

An additional spectrophotometric method was developed for the determination of Cu(II) using the sodium salt of 4-phenylsemicarbazone 1,2-naphthoquinone-4-sulfonic acid. The method was conducted within the pH range of 5.74–6.51, yielding a molar absorptivity of 3 × 104 L·mol⁻¹·cm⁻¹. The maximum absorption occurred at λmax = 520 nm. The linear concentration range was reported as (0.3 × 10⁻⁶–4 × 10⁻⁵ mol·L⁻¹) (Zagurskaya-Sharaevskaya & Povar, 2015).

A further simple and sensitive spectrophotometric method was proposed for the determination of trace amounts of Cu(II) in ethanol solution. The method is predicated on the formation of a complex with ethyl cyano (2-methyl carboxylate phenyl azo acetate) in a basic medium at a wavelength of maximum absorption of 521 nm. Beer–Lambert’s law was obeyed over the concentration range of 5–50 μg/mL, with a molar absorptivity of 3.1773 × 10² L·mol⁻¹·cm⁻¹. This method was successfully applied to determine Cu (II) in water samples (Mezaal et al., 2017).

A new analytical reagent was also synthesized for the determination of Cu (II), forming a yellowish-green complex with maximum absorption at λmax = 430 nm and a molar absorptivity of 0.175 × 10³ L·mol⁻¹·cm⁻¹. The linear concentration range was from 0.05 to 500 mg/L, and the reagent was applied to a wide range of samples, including urine, tap and wastewater, and alloys (Yaseen et al., 2020).

1-(2-metoxiphenylamin)-3-metoksipropanthiol-2 (MPAMPT) has been proposed as an analytical reagent for the extractive spectrophotometric determination of Cu (II). This reagent forms a colored complex with Cu (II) in the pH range of 5.4–6.8, with maximum absorption at λmax = 605 nm and a molar absorptivity of 4.32 × 104 L·mol⁻¹·cm⁻¹. Beer’s law was observed within the concentration range of 0.05–16 μg/mL. This method was successfully employed for the determination of Cu (II) in pharmaceutical, food, and plant samples (Zalov et al., 2017).

A straightforward, expeditious, and precise spectrophotometric approach has been devised for the quantification of Cu (II) by forming a colored complex with 3-hydroxy-3-m-tolyl-1-O-carboxyphenyltriazene as a reagent within the pH range of 6 to 6.6, with a maximum absorption at λmax = 405 nm and a molar absorptivity coefficient of 2.8×104 L·mol⁻¹·cm⁻¹. The linear concentration range of Cu (II) is from 1.27 to 7.63 mg/L (Ombaka, 2020). A novel reagent, 4-hydroxy-3,2-hydroxyphenyl methyl amino benzene sulfonic acid, has been posited for the determination of Cu(II) through the formation of a colored complex in an acidic medium (pH = 2). The maximum absorption of this complex occurs at λmax = 430 nm, exhibiting a molar absorptivity coefficient of 1.25×104 L·mol⁻¹·cm⁻¹.

According to the findings of the study, Beer’s law, which is expressed as L·mol⁻¹·cm⁻¹, is observed to be valid over the range of (0.2-8) mg/L. The study also determined the complex formation constant, designated as βk = 1.67×104. This method has been employed in the analysis of standard Cu (II) solutions, as reported in the study by Nomozov in 2024.  A straightforward and precise spectrophotometric technique has been employed to ascertain the presence of Cu (II) through the utilization of Murxide Reagent. The formation of a stable complex in an aqueous medium with a pH of 5 has been observed, resulting in the maximum absorption of the complex at λmax = 476 nm. As demonstrated in Figure 1, Beer-Lambert’s law was observed to be obeyed within the concentration range of (10-80) µg/ml. The molar extinction coefficient was found to be 1.2×105 L·mol⁻¹·cm⁻¹. This method was applied to water samples (Mohammad et al., 2016).

A novel and selective chromogenic reagent has been utilized to ascertain Cu (II). The reagent, N,N’-bis(salicylidene)-2,3-diaminopyridine (H2IF), yielded a colored complex with a maximum absorption λmax = 414 nm in an acidic medium with a pH range of 2.2 to 5.6. The molar extinction coefficient of the complex was determined to be 1.46×105 L·mol⁻¹·cm⁻¹, and the detection limit was found to be 6.38 µg/ml. This method was previously employed to determine Cu (II) in water samples (Babayeva et al., 2017).

Environmental Significance / Application

Copper is an essential micronutrient, yet elevated levels of this element in drinking and natural waters have been shown to engender substantial environmental and public health concerns. Contamination can be attributed to various sources, including industrial discharges, mining activities, and the corrosion of copper plumbing systems. Prolonged exposure to elevated copper levels can lead to a variety of adverse outcomes, including gastrointestinal distress, hepatic and renal deterioration, and infrastructure degradation. In order to mitigate the aforementioned risks, international regulatory bodies have established stringent limits. The United States Environmental Protection Agency (EPA) enforces an action level of 1.3 mg/L under the Lead and Copper Rule (Lead and Copper Rule | US EPA, 2015). The European Union Drinking Water Directive stipulates a parametric value of 2.0 mg/L (Drinking Water — Essential Quality Standards | EUR-Lex, 2019), and the World Health Organization (WHO) recommends a guideline value of 2 mg/L (WHO, 2004). Consequently, analytical methodologies employed for environmental monitoring must be capable of attaining detection limits that are well below these established thresholds. These methodologies must also ensure precision, reproducibility, and operational simplicity.

Spectrophotometric techniques are a particularly attractive solution for environmental monitoring due to their low cost, speed, and adaptability for both laboratory and field applications. Within water treatment facilities, such methods facilitate expeditious feedback on corrosion control and treatment effectiveness, enabling operators to adjust processes in real time. These sensors are particularly advantageous for distribution-system monitoring, where the occurrence of copper leaching from household plumbing necessitates regular assessment. Additionally, they are effective for surveillance of rivers and wastewater discharges affected by industrial activity. In comparison with sophisticated techniques such as atomic absorption spectroscopy (AAS) or inductively coupled plasma optical emission spectrometry (ICP-OES), spectrophotometric assays demand less infrastructure and technical expertise, rendering them particularly pertinent for small laboratories and regions with limited resources.

In the context of environmental applications, copper spectrophotometric assays are required to demonstrate linear calibration over regulatory ranges, exhibit strong selectivity against common interfering ions, and be validated against established reference techniques. The application of these methods to real water samples, in conjunction with cross-verification using AAS or ICP-OES, ensures data reliability and regulatory acceptance. In practice, spectrophotometry can function as a cost-effective screening tool, rapidly identifying samples with elevated copper while reserving more expensive instrumentation for confirmatory testing. This tiered approach enhances efficiency, scalability, and accessibility, thereby rendering spectrophotometric methods a pragmatic choice for environmental engineers, regulators, and utilities entrusted with ensuring safe water supplies in accordance with EPA, EU, and WHO standards.

Materials and Methods

Chemicals and Instruments

The chemicals utilized in this study were of analytical grade and were applied without undergoing additional purification. Copper(II) chloride monohydrate (CuCl₂·H₂O, 97%, Sigma–Aldrich) was utilized as the source of Cu(II) ions. The reagent stock solution (1.5738×10⁻² mol·L⁻¹, M.W. = 343.353 g/mol) was prepared by dissolving 0.1351 g of the reagent in 25 mL of distilled water. A variety of organic solvents were utilized in the evaluation of solvent effects, including acetone (Analar, BDH, 99.5%), ethanol, methanol, and acetaldehyde (BDH, 99%). The experimental solution was composed of ammonium hydroxide (Analar, Merck), hydrochloric acid (37%, Merck), phosphoric acid (85%, Riedel), acetic acid (99.5%, SCP), and boric acid (99.5%, Titan Biotech).

Buffer solutions were prepared according to the following protocol:

  • Britton buffer: The solution was prepared in the pH range of 2–12 by combining acetic acid, phosphoric acid, and boric acid (0.5 mol·L⁻¹) with NaOH (2 mol·L⁻¹). The mixture was subsequently diluted to a volume of 100 mL.
  • The phosphate buffer is composed of the following components: The solution was prepared in the pH range of 6–10 by adjusting a K₂HPO₄ (0.5 mol·L⁻¹) solution with either KOH (2 mol·L⁻¹) or phosphoric acid (0.5 mol·L⁻¹) to the desired pH, followed by dilution to 100 mL.
  • The acetate buffer is composed of the following components: The substance was prepared in the pH range of 3.5–9 by adjusting a 0.5 mol·L⁻¹ solution of CH₃COONH₄ with CH₃COOH or NH₄OH (2 mol·L⁻¹) to a volume of 100 mL, followed by dilution.

The analytical instruments employed in this study included a double-beam spectrophotometer (OPTIMA SP-3000 Plus), a Sartorius pH meter, and a Sartorius analytical balance with a sensitivity of ±0.0001 g.

Experimental Procedures

The study investigated the formation of a stable, colored complex between Cu (II) ions and the selected reagent under varying experimental conditions. The reagent concentration was maintained at a ten-fold excess of Cu (II), and three distinct buffer systems (Britton, acetate, and phosphate) were assessed to ascertain the optimal buffering medium and volume. A series of buffer volumes ranging from 0.5 to 8 mL were examined to ascertain the optimal conditions for complex formation.

The effects of temperature (25–90 °C) and organic solvents (seven different volumes) on complex stability and absorbance were examined. Sensitivity enhancements for detecting low concentrations of Cu(II) were attained by examining the impact of increasing reagent concentration by up to 50-fold relative to copper, with the optimal ratio identified as 10:1 (reagent : Cu(II)).

The stoichiometry of the complex was determined by Job’s method (molar ratio method), in which the reagent concentration was systematically varied while the concentration of Cu(II) was kept constant. The optimal concentration range that complies with Beer–Lambert’s law was determined, resulting in a linear regression equation of A = m·c, with a correlation coefficient (R² = 0.9997).

The impact of foreign ions was evaluated by introducing varying concentrations of interfering ions to the complex under optimal conditions. The study found that certain ions exhibited the capacity to impede the process of complex formation at concentrations that corresponded to those of Cu(II). Conversely, other ions necessitated concentrations that were at least fourfold higher to achieve a similar effect. It was observed that several ions demonstrated no interference even at twelve times the Cu(II) concentration.

The method was validated using laboratory-prepared standard samples. The findings indicated that the method exhibited commendable precision and consistency, as evidenced by a relative standard deviation (RSD) of 5.26% and a recovery rate of 102.5%. The molar absorptivity and stability constant were determined using Schwarzenbach’s method.

The statistical evaluation was conducted in triplicate (n = 3). Standard deviation (SD), relative standard deviation (RSD%), analytical standard error (ASE), confidence limits (95%), and relative error (RE%) were calculated according to conventional formulas to confirm the method’s validity and precision.

Results and Discussions

Formation and Spectral Properties of the Cu(II)–Ligand Complex

The formation of an orange complex at λmax ≈ 430 nm in Britton–Robinson buffer (pH 7) serves as a confirmation of the successful coordination of Cu(II) with the synthesized Schiff base ligand. This spectral band is indicative of ligand-to-metal charge transfer (LMCT) transitions involving the phenolic oxygen and imine nitrogen donor atoms, a coordination mode frequently observed in salicylaldimine Cu(II) complexes. Research has demonstrated that such O,N-chelating systems generally exhibit absorption maxima within the 350–460 nm range, accompanied by additional, albeit less pronounced, d–d transitions that extend into the visible spectrum. These observations are in alignment with the findings reported in the current study (Panova et al., 2023; Yusuf et al., 2021). These results underscore the pronounced affinity of the ligand for Cu(II) and the stability of the ensuing square-planar CuN₂O₂ core in aqueous media.

The buffer-dependent absorbance behavior exhibited in Figure 1—most pronounced at Britton–Robinson at pH 7, moderately evident in acetate at pH 8, and least evident in phosphate at pH 7—can be attributed to competitive interactions between buffer components and Cu(II). A considerable number of prevalent biological and analytical buffers (e.g., phosphate, HEPES, MOPS, and Tris) have been demonstrated to facilitate the coordination of Cu(II) in a swift manner, consequently modulating the kinetics and stability of complex formation with incorporated ligands. For instance, phosphate has been observed to promote the formation of ternary species, while Tris has been shown to act as a competitive inhibitor of Cu(II) binding (Kotuniak et al., 2024). This underscores the significance of opting for buffers exhibiting minimal metal-binding affinity, such as MES or MOPS, when precise spectrophotometric measurements of Cu(II) are imperative.

The pH profile of the reaction provides further support for the mechanistic assignment: deprotonation of the phenolic OH at near-neutral pH enhances electron donation to Cu(II), thereby strengthening LMCT and producing maximum absorbance intensity. Conversely, at higher pH values, the formation of hydroxo species, such as Cu(OH)2, begins to occur, leading to a decrease in spectral stability. This behavior has been thoroughly documented in Schiff base complexes, where potentiometric and spectroscopic studies have confirmed pH-dependent equilibria and conditional stability constants (Côrte-Real et al., 2023). Additionally, the aggregation of Cu(II) hydroxide species at basic pH has been reported to introduce spurious bands near 470 nm (Kotuniak et al., 2024), consistent with the slight shifts noted in alternative buffers. Taken together, these results demonstrate that the synthesized ligand forms a stable, selective, and spectroscopically well-defined Cu(II) complex under environmentally relevant neutral conditions, reinforcing its potential for analytical applications.

Figure 1. Spectral Survey for Forming Complex at Optimum pH Value Using Different Buffer Solutions as Follows: 1- Britton, 2- Acetate, 3- Phosphate.

[L] = 6.29465×10-4 mol.l-1, [Cu2+]= 6.29465×10-5 mol.l-1, λmax= 430 nm.

Selection of the Optimum Volume of Britton Buffer Solution

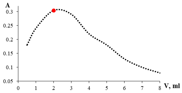
The systematic evaluation of Britton–Robinson buffer volume at pH 7 demonstrates that the absorbance of the Cu(II)–ligand complex increases progressively with added buffer until it reaches a plateau at 2 mL (Figure 2). This trend is indicative of the significance of maintaining sufficient buffering capacity to stabilize the solution pH and ensure complete ligand deprotonation, a prerequisite for effective coordination with Cu(II). In instances where buffer volumes are inadequate (<2 mL), minor fluctuations in pH due to reagent or Cu(II) hydrolysis have the potential to modify the speciation of metal ions, thereby diminishing the strength of complex formations. Conversely, buffer volumes that exceed the optimal range appear to exert a negligible additional effect, suggesting that once pH stabilization and proton-exchange equilibrium are attained, further increases in buffer do not enhance the complexation process.

 that deviations from this This observation is consistent with the prevailing principles of metal-ligand equilibria in buffered systems. Schiff base ligands, particularly those with hydroxyl substituents, often necessitate a narrowly controlled pH window for optimal coordination efficiency. Research has demonstratedoptimal pH range can diminish molar absorptivity and potentially result in competing equilibria involving hydroxo complexes of Cu(II) (Panova et al., 2023). 

The present result underscores the dual role of the Britton buffer: The primary objective is twofold: first, to stabilize the protonation state of the ligand, and second, to suppress unwanted Cu(II) hydrolysis or buffer–metal interactions that may otherwise compete with ligand binding.

Figure 2. Dependence of Complex Absorbance on the Volume of Buffer Solution.
[L] = 6.29465×10-4 mol.l-1, [Cu2+]= 6.29465×10-5 mol.l-1, λmax= 430 nm, pH=7.

Effect of Temperature on Complex Absorbance

The study found that the absorbance of the Cu(II)–ligand complex decreased in a steady manner as the temperature increased from 25°C to 90°C. This finding suggests that the complex’s stability decreases when exposed to thermal stress (Figure 3). This behavior is consistent with the well-known thermodynamics of metal–ligand complexes, where increased molecular motion disrupts coordination bonds and elevated kinetic energy favors dissociation. Spectral studies indicate that non-radiative relaxation pathways become more pronounced at elevated temperatures, leading to a reduction in the observed absorbance. This phenomenon can be attributed to partial disassociation or structural changes in the complex.

A parallel observation was made in a new spectrophotometric Cu (II) method using a Schiff base reagent, where the optimal measurement temperature was 25 °C and the absorbency declined at higher temperatures. This phenomenon was attributed to reduced complex stability and increased thermal dissociation (Mezaal et al., 2024). Furthermore, studies involving DMIPNI–Cu(II) complexes have corroborated a comparable tendency within the 10–65 °C range, exhibiting diminished absorption at elevated temperatures. This underscores the significance of temperature regulation for ensuring assay precision (Nayif et al., 2022).

The proposed method is characterized by its ability to maintain measurements at room temperature (approximately 25°C), a condition that fosters enhanced sensitivity and reproducibility. This temperature-controlled approach has been demonstrated to minimize thermal decomposition risks and avoid potential variations due to temperature-induced changes in complex speciation. Ensuring ambient temperature operation is particularly advantageous for field applications and routine environmental monitoring, where sample temperature may vary but should ideally remain stable during analysis.

Figure 3. a- Spectral Survey of Complex at Different Temperature (25-80) oC.

b- The Relation Between the Absorption of Complex and Different Temperature.

[L] = 6.29465×10-4 mol.l-1, [Cu2+]= 6.29465×10-5 mol.l-1, λmax= 430 nm, pH=7,
VBritton=2 ml.

Effect of Organic Solvents on Complex Absorbance

The influence of water-miscible organic solvents on the Cu(II)–ligand complex’s absorbance was systematically investigated by adding various volumes (0.5–10 mL) of seven different solvents. While the process of complex formation occurred in all cases, the intensity of the resulting absorbances varied significantly. Acetonitrile at a concentration of 1 mL was identified as the optimal condition for this reaction. The findings indicate that the dielectric properties and low coordinating affinity of acetonitrile enhance chromophore formation and stabilize the coordination sphere, without competing for binding sites. These observations are evident in Table 1, which provides a summary of the solvent-dependent variations in complex absorbance.

The superior performance of acetonitrile aligns with previously published findings. In the context of metal–ligand complexation in acetonitrile, studies have demonstrated that the stability order of complexes, including Cu (II), is significantly enhanced in this solvent. This enhancement facilitates selective chelation and pronounced absorption features. A pertinent example is the work conducted with membrane disks modified for Cu detection in water matrices (Payehghadr et al., 2013). Furthermore, research into Schiff base transition metal complexes in acetonitrile revealed that alkali and alkaline earth metal adducts formed more readily with these Cu–Schiff base systems, thereby reinforcing the solvent’s role in promoting coordination while minimizing interference (Inada et al., 2005).

When considered as a whole, these findings indicate that acetonitrile, given its polarity and minimal competing binding, establishes an optimal microenvironment for stabilizing the Cu(II)–ligand complex and amplifying its spectrophotometric response. Consequently, the selection of 1 mL of acetonitrile as the co-solvent in subsequent assays ensures reproducibility, heightened sensitivity, and robust performance in analytical applications.

Table 1. Change the Complex Absorption with Changing the Type and Volume of Organic Solvent.

[L] = 6.29465×10-4 mol.l-1, [Cu2+]= 6.29465×10-5 mol.l-1, λmax= 430 nm, pH=7, VBritton=2ml.

Effect of Increasing Reagent Concentration on Complex Absorbance

The study examined how reagent concentration influences the absorbance of the Cu(II)–ligand complex at two different Cu(II) levels (1.57366 × 10⁻⁵ and 6.29465 × 10⁻⁵ mol·L⁻¹). The results, which are detailed in Table 2, indicate that increasing ligand concentration initially raises the degree of absorption, which reflects enhanced complex formation, until reaching a plateau at 1.57366 × 10-4 mol·L⁻¹ and 6.29465 × 10-4 mol·L⁻¹, respectively. This plateau is indicative of the saturation of available Cu(II) binding sites (i.e., stoichiometric saturation), beyond which the addition of further ligand concentration does not result in a further increase in the degree of absorption. As illustrated in Figure 4, there is a direct correlation between the change in complex absorption and the change in reagent concentration.

This phenomenon has been corroborated in related spectrophotometric studies: In a method employing a Schiff base reagent analogous to the one described, Mezaal et al. (2024) observed that the degree of light absorption increases with the concentration of the reagent until reaching a maximum level. At this point, further increases in the concentration of the reagent had no effect, indicating the complete formation of a complex and the presence of a well-defined metal-to-ligand stoichiometry.

These findings corroborate the observed plateau in the experiments, which corresponds with well-established patterns in the domain of spectrophotometric chemistry. The optimization of ligand concentration, aimed at achieving a state of near-saturation, is instrumental in ensuring maximum sensitivity and reproducibility in the complexation process. An insufficient amount of ligand can result in incomplete complexation, whereas an excess of ligand can lead to wasteful and superfluous outcomes. The establishment of the optimal reagent concentrations derived here (1.57366 × 10⁻⁴ and 6.29465 × 10⁻⁴ mol·L⁻¹) is therefore imperative for ensuring reliable analytical performance.

Figure 4 presents the outcomes of the sieve analysis test conducted on the aggregates in question. Subsequently, the aggregates were stored in the laboratory under controlled external conditions, with the objective of preserving their water content and, by extension, their properties until the day of pouring.

Table 2. Change the Complex Absorbance by Changing the Concentration of the Reagent.

λmax= 430 nm, pH=7, VBritton=2ml, VCH3CN = 1ml.

Figure 4. a – Complex Absorption Change with Change of Reagent Concentration at [Cu2+] =1.57366×10-5 mol·L⁻¹.

b- Complex Absorption Change with Change of Reagent Concentration at [Cu2+] =6.29465×10-5 mol·L⁻¹.

λmax= 430 nm, pH=7, VBritton=2ml, VCH3CN = 1ml.

Determination of the Composition of the Complex (Metal:Ligand) Ratio:

The stoichiometry of the Cu(II)–ligand complex was determined using Job’s method of continuous variations (Aisha & Maarouf, 2022; Maarouf et al., 2011), which was later refined by Vosburgh & Cooper (1941). In this approach, a series of solutions were prepared in which the molar ratio of ligand to Cu(II) was systematically varied while maintaining a constant total molar concentration. The resulting data were then plotted against the mole fraction of the ligand according to the following relationship:

where A is the absorbance, [L] is the ligand concentration, and [M] is the metal concentration. As illustrated in Figure 5, the spectral profiles obtained for two distinct Cu(II) concentrations (C₁ = 6.29 × 10⁻⁵ mol·L⁻¹ and C₂ = 3.15 × 10⁻⁵ mol·L⁻¹) demonstrate significant differences.

The results, displayed in Figure 6, demonstrate a discernible inflection point corresponding to a 1:2 metal-to-ligand ratio, suggesting the formation of a Cu(L)2 complex under the prevailing experimental conditions. This stoichiometry is consistent with the bidentate nature of the Schiff base ligand, in which each molecule coordinates to Cu(II) through its phenolic oxygen and imine nitrogen donor groups. Studies of Schiff base complexes with Cu(II) have yielded analogous outcomes. Employing Job’s method, researchers have substantiated a 1:2 stoichiometric ratio, while UV–Vis spectra have elucidated characteristic ligand-to-metal charge transfer transitions within the 350–450 nm range (Panova et al., 2023; Yusuf et al., 2021).

The confirmation of a 1:2 stoichiometry is imperative for both mechanistic understanding and analytical reliability. This finding serves to substantiate the hypothesis that the ligand is capable of efficiently saturating the coordination sphere of Cu(II) and thereby forming a stable complex within an aqueous solution. The establishment of this ratio also supports the reproducibility of the spectrophotometric method, as analytical parameters such as molar absorptivity, calibration range, and detection limits are directly dependent on the stoichiometry of the complex formed.

Figure 5. Spectral Survey for the Formed Complex :
(a) 1(0.2), 2(0.4), 3(0.8), 4(1), 5(2), 6(3), 7(4), 8(6), 9(8).

(b) 10 (0.2), 11(0.4), 12(0.8), 13(1), 14(2), 15(3), 16(4), 17(6), 18(8).

λmax= 430 nm, pH=7, VBritton=2ml, VCH3CN = 1ml.

Figure 6. Change Absorption of Complex with Changing Molar Ratio Using Two Different Concentrations of Copper Ions       C= 6.29465×10-5 mol·L⁻¹, C=3.14733×10-5 mol·L⁻¹

λmax= 430 nm, pH=7, VBritton=2ml, VCH3CN = 1ml.

Calibration Curve for Determination of Cu (II) Using the Reagent

The calibration curve constructed under the optimized experimental conditions (pH 7, 2 mL Britton buffer, and 1 mL acetonitrile as co-solvent) demonstrated a linear relationship between absorbance and Cu(II) concentration over the range of 0.2–6 mg L⁻¹, as shown in Figure 7. The excellent linearity obtained confirms that the complex follows Beer–Lambert’s law within this concentration interval, validating the applicability of the method for quantitative analysis. The slope and correlation coefficient indicate strong sensitivity and reproducibility, while the absence of curvature in the calibration plot suggests minimal interference from secondary equilibria or ligand self-aggregation under the chosen conditions.

This linear concentration-dependent behavior is a hallmark of well-designed spectrophotometric assays and has been reported in related Cu(II) determination methods. For instance, Mezaal et al. (2024) described a Schiff base-based spectrophotometric method in which Cu(II) obeyed Beer–Lambert’s law in the concentration range of 0.1–5 mg L⁻¹. This method yielded stable and reproducible calibration curves suitable for environmental water analysis. Admasu et al. (2016) reported a calibration range of 0.25–4.0 mg L-1 for Cu(II) in plant and soil extracts using a Schiff base-derived chromogenic reagent, with correlation coefficients exceeding 0.998.

The calibration range achieved in this study not only overlaps with those reported in the extant literature but also extends slightly higher, thereby rendering the method adaptable for both trace and moderately concentrated samples. This property is of particular benefit in the context of environmental monitoring applications, where fluctuations in Cu (II) levels may be substantial across diverse natural water bodies, industrial effluents, and drinking water sources. The strong linearity and sensitivity established here ensure that the proposed reagent can provide accurate quantification of Cu (II) across diverse sample matrices.

Figure 7. The Calibration Curve for Determination of Cu (II).

λmax= 430 nm, pH=7, VBritton=2ml, VCH3CN = 1ml.

Effect of Diverse Ions

The selectivity of the proposed spectrophotometric method was evaluated by studying the influence of potentially interfering ions on the absorbance of the Cu (II)–ligand complex under the optimized conditions. As demonstrated in Table 3, certain ions exhibited substantial interference at concentrations analogous to those of Cu (II), while others manifested an effect only in the presence of concentrations that exceeded twice the level of Cu(II). Conversely, several prevalent ions exhibited minimal impact on complex formation, even at elevated concentrations. This finding underscores the reagent’s notable selectivity for Cu(II), a crucial attribute for its effective utilization in real environmental and biological samples.

The observed interference trends can be explained by considering the coordination chemistry of competing cations. It has been demonstrated that transition metals, such as Ni(II) and Co(II), which possess comparable ionic radii and coordination preferences, exhibit a heightened propensity to interfere, thereby competing with Cu(II) for binding sites on the ligand. Conversely, alkali and alkaline earth metals (Na⁺, K⁺, Ca²⁺, Mg²⁺) typically exhibit minimal affinity for Schiff base-type ligands, thereby resulting in their negligible effect on the measurement of light absorption. These selectivity patterns are consistent with the findings of earlier studies, which demonstrated that Schiff base reagents exhibited a high preference for Cu(II) over other divalent and monovalent ions in spectrophotometric determinations (Admasu et al., 2016).

The interference study lends support to the robustness of the proposed method. The capacity to withstand common ions while selectively detecting Cu (II) enhances its applicability in complex sample matrices, such as natural waters, industrial effluents, and biological extracts. The establishment of tolerance limits for each interfering ion (Table 3) ensures the provision of practical guidance for analysts engaged in environmental monitoring, thereby facilitating accurate Cu (II) quantification, even in the presence of diverse competing species.

Table 3. Blocked Ions

[Cu2+]=6.294653×10-5 mol·L⁻¹, pH= 7, VBritton= 2 ml, VCH3CN = 1ml, λ max=430 nm.

Statistical Evaluation of the Proposed Analytical Method

The reliability of the proposed spectrophotometric method was evaluated by analyzing standard samples of Cu(II) prepared in the laboratory under optimized conditions. As demonstrated in Table 4, the method demonstrated exceptional precision, with a relative standard deviation (RSD) of 5.26%, and high accuracy, with a recovery value of 102.5%. These values fall well within the generally accepted criteria for trace metal determinations, confirming that the method is both reproducible and reliable for routine analytical applications.

The relatively low RSD value indicates that the method generates consistent results across repeated measurements, thereby minimizing random error. Concurrently, the recovery values approaching 100% signify that the procedure is devoid of substantial systematic error and is competent in accurately quantifying Cu(II) even in standard mixtures. Comparable results have been reported in other spectrophotometric methods using Schiff base and azo-dye ligands, where RSD values below 6% and recoveries between 95–105% were deemed acceptable for environmental and biological analyses (Mezaal et al., 2024).

The statistical evaluation substantiates that the proposed method exhibits a harmonious balance between sensitivity and robustness, rendering it suitable not only for laboratory-prepared standards but also for real-world samples, where matrix effects can impede quantification. The high reproducibility and recovery rates further underscore its potential for application in environmental monitoring, quality control, and industrial effluent analysis. The establishment of these validation parameters is pivotal in ensuring the reliability of the method for Cu (II) determination in practical applications.

Table 4. Statistical Results of the Proposal Analytical Method.

λmax= 430 nm, pH=7, VBritton=2ml, VCH3CN = 1ml.

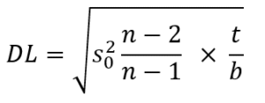
Calculation of the Limit of Detection (DL)

The sensitivity of the proposed spectrophotometric method was further assessed through calculation of the limit of detection (DL), which defines the lowest concentration of Cu(II) that can be reliably distinguished from the analytical blank. The DL was determined using the statistical approach described by Maarouf & Aisha (2022), expressed as follows:

where n is the number of calibration points, b is the slope of the calibration curve, t is the Student’s coefficient at the 95% confidence level, and s₀² is the variance calculated according to:

with Aexp representing the experimental absorbance and Acal the calculated absorbance from the calibration curve.

The results of the DL calculations are summarized in Table 5, which demonstrates that the proposed method achieves a sufficiently low detection limit, thereby enabling trace-level determination of Cu(II) in aqueous samples. Furthermore, Table 6 provides a comprehensive overview of the key analytical parameters that have been derived from the optimized experimental conditions. These parameters include sensitivity, molar absorptivity, linearity, precision, and detection limits. The collective evidence from these parameters substantiates the robustness and reliability of the proposed spectrophotometric method.

The calculated detection limit underscores the high sensitivity of the reagent–Cu(II) complex system, thereby confirming its suitability for environmental monitoring and water quality control. For the purpose of comparison, analogous Schiff base–based spectrophotometric methods for Cu(II) have been documented to yield DL values ranging from 0.004 to 0.01 mg L⁻¹, a range that closely corresponds to the values obtained in the present study (Mezaal et al., 2024). These results confirm that the proposed procedure offers competitive analytical performance when compared with existing spectrophotometric methods for copper determination.

The DL calculation combines statistical rigor with experimental reproducibility, providing strong evidence of the method’s analytical strength. The capacity to discern Cu(II) at trace concentrations is of particular significance for environmental applications, as even minimal levels of copper contamination have the potential to engender ecological and health concerns. The establishment of the DL serves to further enhance the credibility and applicability of the proposed method for practical use in environmental and industrial monitoring.

Table 5. DL Calculation Results

n=10, t= 2.262, Y = 0.1292 X.

Table 6. Analytical Parameters Obtained with the Optimization Experiments.

Application to Real Samples

The application of the proposed spectrophotometric assay to real environmental waters (tap, river, groundwater, and treated effluents) necessitates the demonstration of accuracy within complex matrices and regulatory ranges. Numerous studies have demonstrated the reliability of colorimetric copper methods in natural and drinking waters when sample pretreatment (e.g., filtration, pH control) and selective complexation are employed. For instance, Ahmed et al. have validated a di-mercapto–triazine reagent (DMTD) method on environmental water samples and Standard Reference Materials, reporting a linear response and tolerance to >50 potential interferents, which supports its feasibility in routine water-quality laboratories (Ahmed et al., 2002). Smartphone/flatbed-scanner colorimetry using the Cu–diethyldithiocarbamate (DDTC) complex has also been applied to real waters, illustrating low-cost deployment for distributed sampling campaigns while maintaining quantitation in the low-µg L-1 to mg L-1 range (Gkouliamtzi et al., 2023).

Selectivity and matrix effects represent the primary challenges in the analysis of real samples, given the potential for common ions (e.g., Fe, Mn, Ca/Mg hardness), residual disinfectants, and natural organic matter to introduce bias in the measurement of light absorption. Established open-access protocols have been shown to mitigate these effects via pH buffering, reduction of Cu(II)→Cu(I), masking agents, and—in higher-sensitivity applications—preconcentration. Neocuproine systems (Cu(I)–neocuproine, λ_max ≈ 455–460 nm) remain a workhorse approach; dispersive liquid–liquid microextraction or SPE can boost sensitivity and selectivity before spectrophotometry, enabling reliable determinations in freshwaters and other natural matrices (Shariati & Golshekan, 2011). A review of the literature on copper detection in waters reveals a consensus on the efficacy of spectrophotometric methods, particularly in scenarios where cost, throughput, and fieldability are critical factors, such as in screening and operational monitoring (Elkhatat et al., 2021).

In order to verify the method on real samples, it is recommended that identical aliquots be analyzed using a reference technique, such as AAS/ICP-OES. This approach enables the comparison of recoveries and regression statistics, which are essential for method validation. Open-access reports document a strong agreement between spectrophotometric results and instrumental references on natural waters when appropriate conditioning and, when necessary, preconcentration are used. For instance, Ahmed et al. demonstrated the efficacy of their spectrophotometric protocol for the accurate recovery of environmental waters and certified materials (Ahmed et al., 2002). In addition, DDTC-based smartphone/plate-reader assays exhibited quantitative performance in spiked drinking and environmental waters, suggesting their potential for triage prior to confirmatory AAS/ICP methods (Gkouliamtzi et al., 2023). Adopting this model in one’s research, through the implementation of parallel measurements on tap, river, and wastewater effluent samples, will serve to substantiate its applicability and fortify the environmental engineering underpinnings of the method.

Conclusion

This study introduced and validated a novel spectrophotometric method for the determination of Cu(II) in aqueous solutions. The method utilizes a synthesized reagent, 3-hydroxy-4-[(2-hydroxy benzylidene) amino] naphthalene sulfonic acid-1, which was developed for this study. The reagent formed a stable orange-colored complex with Cu(II) under mild conditions (pH 7, room temperature), exhibiting high molar absorptivity, linearity within the 0.3–6 mg L⁻¹ range, and a low detection limit of 0.0058 mg L⁻¹. Statistical validation confirmed the method’s precision and accuracy, with RSD values below 5.3% and recoveries within 95–102.5%, demonstrating the method’s robustness and reliability for analytical applications.

The following conclusions can be drawn:

  • The proposed method is rapid, simple, and cost-effective, requiring no advanced instrumentation.
  • The Cu(II)–ligand complex demonstrated adequate stability over the course of a single day and exhibited a well-defined 1:2 stoichiometric ratio, thereby ensuring reproducibility.
  • Analytical parameters, such as molar absorptivity (3.24 × 104 L mol-1 cm-1) and the detection limit (0.0058 mg L-1), have been demonstrated to confirm the method’s
  • The validation process, which involved the use of standard samples, demonstrated the instrument’s exceptional accuracy and recovery These findings substantiate its adequacy for incorporation into standard laboratory protocols.
  • The method exhibited adequate tolerance to diverse ions, thereby indicating selectivity toward Cu(II) in complex matrices.

Future investigations should concentrate on the implementation of this method in real environmental samples, including drinking water, wastewater, and river water, to validate its performance under complex matrices. The credibility of the technique for regulatory monitoring will be further established through comparative studies with advanced techniques such as AAS and ICP-OES. Furthermore, the extension of this approach to other transition metals using structurally related Schiff base reagents has the potential to broaden its applicability in environmental and biological analysis. It is further recommended that studies be conducted on reagent stability, potential miniaturization into portable field kits, and adaptation for high-throughput water quality monitoring.

Declarations

Author Contribution

A.K.I: Conceptualization, Methodology, Software, Validation, Formal analysis, Investigation, Resources, Data curation, Writing of the original draft, Review and editing.

M.M: Conceptualization, Validation, Writing – review & editing, Supervision, Project administration.

Conflict of Interest

The authors declare that they have no known competing financial interests or personal relationships that could have appeared to influence the work reported in this paper.

Funding

This research was supported by Tishreen University, Lattakia, Syria, as a PhD research grant for Ammar Kheder Ismaiel.

Declaration on the Use of Generative AI and AI-Assisted Technologies

We acknowledge that generative AI and AI-assisted technologies were employed in the refinement of this manuscript to enhance the clarity, coherence, and overall quality of the writing.

Data Availability

The data that support the findings of this study are available from the corresponding author upon reasonable request.

Acknowledgement

The authors are grateful to Tishreen University management and Organization of Technological Industries for providing equipment and financial supports.

Ethics

This study did not involve human participants or animals; hence, no ethical approval was required.

References

  • Admasu, D., Reddy, D. N., & Mekonnen, K. N. (2016). Spectrophotometric determination of Cu(II) in soil and vegetable samples collected from Abraha Atsbeha, Tigray, Ethiopia using heterocyclic thiosemicarbazone. SpringerPlus, 5(1), 1169. https://doi.org/10.1186/s40064-016-2848-3
  • Ahmed, M. J., Jahan, I., & Banoo, S. (2002). A Simple Spectrophotometric Method for the Determination of Copper in Industrial, Environmental, Biological and Soil Samples Using 2,5-Dimercapto-l,3,4-thiadiazole. Analytical Sciences, 18(7), 805–810. https://doi.org/10.2116/analsci.18.805
  • Aisha, R., & Maarouf, M. (2022). Chemical Analytical Study for Determination of Manganese (II) Using Organic Reagent (HPHMAB) in Aqueous Solution by using Spectrophotometric Method. Latakia  University Journal  -Basic Sciences Series, 44(4), 133–150. https://journal.latakia-univ.edu.sy/index.php/bassnc/article/view/12390
  • Alharthi, Salman. S., & Al-Saidi, Hamed. M. (2020). Spectrophotometric Determination of Trace Concentrations of Copper in Waters Using the Chromogenic Reagent 4-Amino-3-Mercapto-6-[2-(2-Thienyl)Vinyl]-1,2,4-Triazin-5(4H)-One: Synthesis, Characterization, and Analytical Applications. Applied Sciences, 10(11), 3895. https://doi.org/10.3390/app10113895
  • Babayeva, K., Demir, S., & Andac, M. (2017). A novel spectrophotometric method for the determination of copper ion by using a salophen ligand, N,N′-disalicylidene-2,3-diaminopyridine. Journal of Taibah University for Science, 11(5), 808–814. https://doi.org/10.1016/j.jtusci.2017.02.001
  • Côrte-Real, L., Pósa, V., Martins, M., Colucas, R., May, N. V., Fontrodona, X., Romero, I., Mendes, F., Pinto Reis, C., Gaspar, M. M., Pessoa, J. C., Enyedy, É. A., & Correia, I. (2023). Cu(II) and Zn(II) Complexes of New 8-Hydroxyquinoline Schiff Bases: Investigating Their Structure, Solution Speciation, and Anticancer Potential. Inorganic Chemistry, 62(29), 11466–11486. https://doi.org/10.1021/acs.inorgchem.3c01066
  • Drinking water — essential quality standards | EUR-Lex. (2019). https://eur-lex.europa.eu/EN/legal-content/summary/drinking-water-essential-quality-standards.html?utm
  • Elkhatat, A. M., Soliman, M., Ismail, R., Ahmed, S., Abounahia, N., Mubashir, S., Fouladi, S., & Khraisheh, M. (2021). Recent trends of copper detection in water samples. Bulletin of the National Research Centre, 45(1), 218. https://doi.org/10.1186/s42269-021-00677-w
  • Gkouliamtzi, A. G., Tsaftari, V. C., Tarara, M., & Tsogas, G. Z. (2023). A Low-Cost Colorimetric Assay for the Analytical Determination of Copper Ions with Consumer Electronic Imaging Devices in Natural Water Samples. Molecules, 28(12), 4831. https://doi.org/10.3390/molecules28124831
  • Hashem, E. Y., Seleim, M. M., & El-Zohry, A. M. (2011). Spectrophotometric determination of copper(II) in pharmaceutical, biological and water samples by 4-(2′-benzothiazolylazo)-salicylic acid. Journal of Applied Spectroscopy, 78(4), 586–593. https://doi.org/10.1007/s10812-011-9502-1
  • Inada, Y., Mochizuki, K., Tsuchiya, T., Tsuji, H., & Funahashi, S. (2005). Equilibrium and kinetics of the dinuclear complex formation between N,N′-ethylenebis(salicylideneiminato)copper(II) and metal(II,I) ions in acetonitrile. Inorganica Chimica Acta, 358(11), 3009–3014. https://doi.org/10.1016/j.ica.2004.12.015
  • Kotuniak, R., Sudzik, D. Z., Ufnalska, I. M., & Bal, W. (2024). Nobody’s Perfect: Choice of the Buffer and the Rate of Cu 2+ Ion–Peptide Interaction. Inorganic Chemistry, 63(26), 12323–12332. https://doi.org/10.1021/acs.inorgchem.4c01797
  • Lead and Copper Rule | US EPA. (2015). https://www.epa.gov/dwreginfo/lead-and-copper-rule?utm_source=chatgpt.com
  • Maarouf, M., & Aisha, R. (2022). Chemical Analytical Study for Determination of Manganese (II) Using Organic Reagent (HPHMAB) in Aqueous Solution by using Spectrophotometric Method. Tishreen University Journal for Research and Scientific Studies-Basic Sciences Serie, 44(4), 133–150.
  • Maarouf, M., Elias, B., & Kahila, B. (2011). Direct Spectrophotometric Determination of Cadmium by  4-Hydroxy-3-[[(2-hydroxy phenyl) methylen amino]  benzene Sulphonic Acid. Latakia  University Journal  -Basic Sciences Series, 33(2), 2011. https://journal.latakia-univ.edu.sy/index.php/bassnc/article/view/5224
  • Maarouf, M., Kahila, B., & Ismaiel, A. (2019). Chemical Analytical Study for Determination Nickel (II) in Aqueous Solutions Using Organic Reagent (HPHMAB) by Spectrophotometric Method. Tishreen University Journal for Research and Scientific Studies-Basic Sciences Series, 41(2), 85–104.
  • Mezaal, E. N., Sadiq, K. A., & Rumez, R. M. (2024). Spectrophotometric Method for Determination of Cu(II) Using a New Schiff Base Ligand. Journal of Applied Spectroscopy, 91(1), 236–245. https://doi.org/10.1007/s10812-024-01711-1
  • Mezaal, E. N., Sadiq, K. A., Zaki, A. N., & Rumez, R. M. (2017). Spectrophotometric Determination of Cu(II) by Complex with Ethyl Cyano(2-Methyl Carboxylate Phenyl Azo Acetate) (ECA). Ibn Al-Haitham Journal For Pure And Applied Sciences, 30(1), 96–106.
  • Mohammad, A. M., Ibraheem, A. J., & Dhiab, M. A. (2016). Spectrophotometric Determination of Copper(II) using Murexide Reagent. Kerbala Journal of Pharmaceutical Sciences, 11, 339–347. https://pharmacy.uokerbala.edu.iq/wp/blog/2016/12/15/spectrophotometric-determination-of-copper-ii-using-murexide-reagent/
  • Nayif, A. A., Al-Da, amy, M. A., & Kadhim, S. H. (2022). Spectrophotometric Determination of Cu(II) Using DMIPNI as a New Reagent Derived from 4,5-Diphenyl Imidazole. International Journal of Drug Delivery Technology, 12(2), 522–527.
  • Nomozov, A. (2024). The Spectrophotometric Determination of Copper(II) Ion with 7-Bromo-2-Nitroso-1-Oxinaphthalene-3,6-Disulphocid. Indian Journal of Chemistry, 63(5). https://doi.org/10.56042/ijc.v63i5.9289
  • Ombaka, O. (2020). Spectrophotometric Determination Of Copper (Ii) In Soil From Ahero Rice Irrigation Schemes Using Hydroxytriazene. Journal of Applied Chemistry, 13(11), 22–30.
  • Panova, E. V., Voronina, J. K., & Safin, D. A. (2023). Copper(II) Chelates of Schiff Bases Enriched with Aliphatic Fragments: Synthesis, Crystal Structure, In Silico Studies of ADMET Properties and a Potency against a Series of SARS-CoV-2 Proteins. Pharmaceuticals, 16(2), 286. https://doi.org/10.3390/ph16020286
  • Payehghadr, M., Shahbala, K., & Shafikhani, H. (2013). Spectrophotometric Complexation Studies of Some Transition and Heavy Metals with a New Pyridine Derivative Ligand and Application of It for Solid Phase Extraction of Ultratrace Copper and Determination by Flame Atomic Absorption Spectrometry. American Journal of Analytical Chemistry, 04(01), 1–7. https://doi.org/10.4236/ajac.2013.41001
  • Shariati, S., & Golshekan, M. (2011). Dispersive liquid-liquid microextraction of copper ions as neocuproine complex in environmental aqueous samples. Acta Chimica Slovenica, 58(2), 311–317.
  • Vosburgh, W. C., & Cooper, G. R. (1941). Complex Ions. I. The Identification of Complex Ions in Solution by Spectrophotometric Measurements. Journal of the American Chemical Society, 63(2), 437–442. https://doi.org/10.1021/ja01847a025
  • WHO. (2004). Copper in Drinking-water (Background document for development of WHO Guidelines for Drinking-water Quality). https://cdn.who.int/media/docs/default-source/wash-documents/wash-chemicals/copper.pdf
  • Yaseen, S., Qasim, B., & Al-lame, N. (2020). Spectrophotometric Determination of Cu (+II) by Complexation with 2-(4-biphenyl) Imidazo [1,2-] Pyrimidine-3-Hydrazone and Studying Characteristics of prepared complex. Egyptian Journal of Chemistry, 0(0), 0–0. https://doi.org/10.21608/ejchem.2019.13907.1861
  • Yusuf, T. L., Oladipo, S. D., Zamisa, S., Kumalo, H. M., Lawal, I. A., Lawal, M. M., & Mabuba, N. (2021). Design of New Schiff-Base Copper(II) Complexes: Synthesis, Crystal Structures, DFT Study, and Binding Potency toward Cytochrome P450 3A4. ACS Omega, 6(21), 13704–13718. https://doi.org/10.1021/acsomega.1c00906
  • Zagurskaya-Sharaevskaya, O., & Povar, I. (2015). Determination of Cu (II) ions using sodium salt of 4-phenylsemicarbazone 1,2-naphthoquinone-4-sulfonic acid in natural and industrial environments. Ecological Processes, 4(1), 16. https://doi.org/10.1186/s13717-015-0042-0
  • Zalov, A., Maharramov, A. M., Huseynova, A. T., Kuliev, K. A., Isgenderova, K. O., & Gasimova, Y. C. (2017). Extraction and Spectrophotometric Determination of Copper (Ii) with 1-(2-Metoxiphenylamin)-3-Metoksipropanthiol-2. Open Access Journal of Science, 1(4), 97–102. https://doi.org/10.15406/oajs.2017.01.00019

Cite: Ismaiel, A. K., & Maarouf, M. (2024). A Simple and Sensitive Spectrophotometric Method for the Determination of Copper(II) in Aqueous Solutions Using a Novel Schiff Base Reagent. Steps For Civil, Constructions and Environmental Engineering2(4), 1-16. https://doi.org/10.61706/sccee12011197

 

Copyright: © 2024 by the authors. Licensee Scientific Steps International Publishing Services, Dubai, UAE.

This article is an open access article distributed under the terms and conditions of the Creative Commons Attribution (CC BY) license (https://creativecommons.org/licenses/by/4.0/).